隨著使用聚合物驅的三次采油技術的推廣[1],三采污水量逐年增加,這部分污水中不僅含有石油類,還含有固體懸浮物、聚合物及其他化學藥劑等多種成分,因而污水黏度大,水中油滴及固體懸浮物在聚丙烯酰胺及其水解產物的作用下乳化,使其穩定性增強,處理起來非常困難,加之相應的處理標準要求苛刻,因而高效廉價的含聚污水處理技術受到了廣泛關注[2]。目前,混凝沉淀法是油田采出水最常用的處理方法之一,而優質高效絮凝劑的開發是混凝沉淀法的核心。
丙烯酰氧乙基三甲基氯化銨(DAC)和丙烯酰胺(AM)的共聚物P(DAC-AM)作為一種陽離子型高分子絮凝劑,有數目眾多的陽離子基團,可使絮凝劑通過靜電作用吸附于帶負電的懸浮物顆粒、帶負電的乳化油滴和含陰離子基團的水溶性有機膠質上,在中和微粒表面電荷使其凝聚失穩的情況下,可進一步利用其長分子鏈的吸附架橋作用,使懸浮顆粒凝聚、絮凝沉降,乳化油滴凝聚變大、上浮或破乳。陰離子型溶解有機污染物與之靜電相吸而聚沉,因此其具有凝聚、絮凝的雙重功能,是一種“多功能”絮凝劑,可有效降低水的濁度、含油量和COD ,廣泛應用于各種工業和生活廢水的處理[3]。
自1952年美國氰胺公司實現聚丙烯酰胺的工業化生產以來,丙烯酰胺類聚合物的合成方法一直都在不斷改進之中[4]。反相乳液聚合是20世紀80年代發展起來的一種聚合方法,具有反應速率快、粒子粒徑小、產物相對分子質量高而且分布窄、產品溶解性好、利于攪拌傳熱等優點,現已成為聚合物合成的研究熱點[5]。
筆者以白油做有機相溶劑,自制馬來酸酐改性Span80與wt2524復配做乳化劑,采用反相微乳液聚合法合成了穩定的陽離子型高分子絮凝劑P(DAC-AM),探討了其合成條件,并將其應用于大慶油田含聚污水的絮凝處理,研究了不同分子質量、不同陽離子度產品對于絮凝效果的影響。
1 實驗部分
1.1 主要試劑與儀器
試驗試劑:乙二胺四乙酸二鈉、氫氧化鈉、溴酸鉀、焦亞硫酸鈉、甲醇、丙酮,硝酸鈉、醋酸鈉、硝酸銀、鉻酸鉀,分析純,天津風船化學試劑科技有限公司;丙烯酰氧乙基三甲基氯化銨(DAC),質量分數80%,江蘇富淼科技股份有限公司;丙烯酰胺(AM),分析純,日本三井化學;聚合氯化鋁(PAC),固體,分析純,天津潤沃供水安裝工程有限公司提供;Span80,馬來酸酐,化學純,天津光復精細化工研究所;wt2524,化學純,美國亨斯邁化工有限公司;白油,工業品。
實驗用現場含聚污水:取自大慶油田,聚合物驅污水溫度40 ℃,油質量濃度為1 240 mg/L,PAM類聚合物質量濃度為452 mg/L,固體懸浮物質量濃度為312 mg/L,pH為8.7,黏度1.65 mPa·s,濁度45.8 NTU。
試驗儀器:PL4002型分析天平,梅特勒-托利多集團;DF-101S型數字控制恒溫水浴箱,鄭州長城科工貿有限公司;德國IKA歐洲之星攪拌器,艾卡(廣州)儀器設備有限公司;BT100-2J精密蠕動泵,保定蘭格恒流泵有限公司;76-1A玻璃恒溫水浴,金壇市梅香儀器有限公司;0.5~0.6 mm烏式黏度計,天津市天波玻璃儀器有限公司;DZF型真空干燥箱,鞏義裕華儀器有限責任公司;Bruker紅外光譜儀,布魯克(北京)科技有限公司。
1.2 P(DAC-AM)的合成與表征
稱取0.050 mol馬來酸酐和0.050 mol Span80于三口瓶中,加入0.50 mmol 醋酸鈉作催化劑,混合物攪拌下加熱至熔融,反應3.0 h后冷卻,得到透明黏稠液,用20%的氫氧化鈉溶液調至中性,得白色膏狀粗產物。粗產物用冷的乙醇鈉溶液洗滌得純凈的馬來酸酐改性Span80(熔點273 ℃,收率87%)。
在燒杯里加入丙烯酰胺、DAC和去離子水,攪拌溶解后加入乙二胺四乙酸二鈉,配制為單體總質量分數為50%的水相;在四口燒瓶中依次加入白油、馬來酸酐改性Span80、wt2524,攪拌一段時間后通過蠕動泵加入先前配制好的水相,高速攪拌乳化充分后,將恒溫水浴控制到指定溫度,通入氮氣除氧,再通過蠕動泵恒速滴加引發劑,待發生明顯的升溫放熱現象并且降溫后,恒溫繼續反應一段時間,停止攪拌,結束反應。產物用甲醇破乳,沉淀,再用丙酮多次清洗,得到的聚合物在40 ℃下真空干燥至恒重,研細可得到粉末狀產物,準確稱取其質量,測定聚合反應的轉化率。
取適量粉末狀產品,用1 mol/L NaNO3 緩沖溶液作溶劑,在(30±0.1) ℃ 下用烏氏黏度計測定其分子質量;使用Bruker Tensor型紅外儀,采用KBr壓片法對產品進行結構分析。
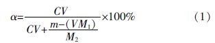
用AgNO3溶液滴定測定產品陽離子度:準確稱取0.3 g左右產品,溶于150 mL去離子水中攪拌溶解,以0.5 mL 5%鉻酸鉀溶液為指示劑,用0.05 mol/L AgNO3標準溶液滴定,根據消耗硝酸銀的體積計算陽離子度α,計算方法見式(1)。

式中:c——AgNO3的濃度,mol/L;
V——所消耗AgNO3標準溶液的體積,L;
M1、M2——DAC、AM的摩爾質量,g/mol;
m——聚合物的質量,g。
1.3 P(DAC-AM)絮凝試驗
絮凝劑的配制:準確稱取0.1 g P(DAC-AM)粉末,并配制成100 mL的溶液,待用。
絮凝過程:量取100 mL大慶油田含聚污水,調pH,40 ℃恒溫0.5 h,之后加入一定量的PAC溶液和一定量的配好的P(DAC-AM)溶液,用力搖動50下,放回40 ℃恒溫水浴,一定時間后取其清液,測定絮凝效果。
2 結果與討論
2.1 P(DAC-AM)的合成
在P(DAC-AM)反相微乳液的合成過程中,隨著反應進行,反應體系黏度先增大后減小,聚合過程中乳液的這種狀態變化是由于微觀結構上乳液從雙連續到反相球狀的轉變造成的。聚合過程中,反應溫度、反應時間、引發劑用量對反應轉化率、產品分子質量均有很大影響,而單體配比則決定了產品的陽離子度。
2.1.1 反應溫度的影響
對于聚合反應,在較低的引發溫度下,引發劑的活性較低,自由基數量少,鏈傳遞往往不能順利進行,導致聚合不完全,產品轉化率低,殘余單體偏高,而在較高的溫度下,引發劑引發產生大量的自由基,體系的鏈轉移速率常數的增加遠大于鏈增長速率常數的增加,又使得相對分子質量降低。因而要獲得產品轉化率高、相對分子質量高的聚合物,反應溫度的選擇至關重要。實驗中固定其他反應條件:m(DAC)∶m(AM)=3∶7,引發劑為溴酸鉀-焦亞硫酸鈉且用量為單體質量的0.025%,反應時間3.0 h,分別在30、35、40、45、50 ℃條件下完成了聚合,發現30 ℃引發反應時,無明顯反應特征,后處理未得到產品,即此溫度下無法引發聚合,35 ℃引發反應時,產品轉化率較低,反應不完全,直至反應溫度提至40 ℃及以上,反應完全,產品分子質量隨溫度升高有降低趨勢,因而選取40 ℃為最佳反應溫度。
2.1.2 反應時間的影響
不同于一般的聚合反應,微乳液聚合是一種快速的聚合反應,短時間內就能夠聚合完全。固定其他反應條件:引發劑為溴酸鉀-焦亞硫酸鈉且用量為單體質量的0.025%,反應溫度40 ℃,使反應分別進行0.5、1.0、1.5、2.0、2.5、3.0 h,發現不同單體配比,即m(DAC)∶m(AM)在1∶9~4∶6下的聚合反應,隨反應時間的增長,反應轉化率逐漸增加,相應的分子質量隨轉化率的增加而逐漸降低,約2.0 h后反應完全,分子質量不再有明顯變化。由此,可以選定最佳反應時間為2.0 h。
2.1.3 引發劑的影響
由于聚丙烯酰胺類聚合反應比較劇烈,為防止暴聚,選取引發溫度較低的溴酸鉀-焦亞硫酸鈉氧化還原引發劑作為引發劑,采用分別滴加氧化劑和還原劑的方式引發聚合。當其他反應條件固定(反應溫度40 ℃,反應時間3.0 h)時,對于不同單體配比,即m(DAC)∶m(AM)在1∶9~4∶6下的聚合反應,引發劑濃度對反應轉化率及所合成產品的分子質量的影響是一致的,均為剛開始隨引發劑濃度增大,反應轉化率升高,產品分子質量下降,至引發劑濃度增大為單體質量的0.025%時,轉化率接近100%且產品分子質量不再有明顯變化,當引發劑濃度繼續增加,體系中自由基過多,產品分子質量反而降低。由此可知,當引發劑濃度為單體質量的0.025%時可獲得最高分子質量的聚合物。表1列出了具有代表性的幾種單體配比此條件下獲得的最高分子質量數值。

2.1.4 單體配比的影響
單體配比對聚合物陽離子度的影響見表2。

由表2可知,單體配比主要影響聚合物陽離子度,相同單體配比的系列聚合物陽離子度的試驗均值略低于其依據單體配比計算出的理論值。
2.2 P(DAC-AM)的紅外光譜表征
本實驗合成的不同陽離子度、不同分子質量的絮凝劑其紅外光譜圖大體一致,代表譜圖見圖1。

?圖1 P(DAC-AM)的紅外光譜表征
3 393 cm-1處為胺基—NH 特征吸收峰,1 667 cm-1 為酰胺羰基伸縮振動吸收峰,在2 930 cm-1 處的吸收峰為甲基和亞甲基的伸縮振動吸收峰,3 188 cm-1 處為—N(CH)上甲基的特征吸收,l 735 cm-1 處為酰氧基團的特征吸收峰,1 452 cm-1 處為—CH2—N(CH3)3亞甲基的彎曲振動吸收峰。兩種單體單元的特征吸收峰在圖1紅外光譜中均已出現。表明產物是DAC-AM的共聚產物。
2.3 P(DAC-AM)處理油田含聚污水的試驗
以大慶油田三元復合驅含聚污水為處理對象,采用無機絮凝劑/有機絮凝劑復配的方式進行絮凝實驗,以濁度、油含量為標準,選取實驗室所制備的不同分子質量、不同陽離子度的系列P(DAC-AM)聚合產品,考察了P(DAC-AM)作為絮凝劑時,pH、陽離子度、分子質量、用量對絮凝效果的影響。
2.3.1 pH對絮凝效果的影響
PAC投加質量濃度為1 600 mg/L,陽離子度30%、分子質量約500萬的P(DAC-AM)投加質量濃度為1.5 mg/L時的pH與濁度去除率、油含量去除率關系如圖2 所示。

?圖2 pH對絮凝效果的影響
由圖2可以看出,隨著pH的增大,溶液濁度去除率和油含量去除率都是先升高再降低,在pH為8時,絮凝效果最好。pH過小時,體系中存在大量的Al3+,一方面大量的Al3+會使體系中顆粒帶上正電荷,電荷排斥作用會使體系再次處于穩定狀態;另一方面,Al3+會對溶液中的陽離子共聚物有排斥作用,使陽離子共聚物鏈有收縮趨勢,減小了其在溶液中的有效粒徑,不利于絮凝的進行。當pH 過大時,溶液中的OH-會明顯降低陽離子絮凝劑的Zeta 電位,不利于中和油田采出水中膠團所帶的負電荷,同樣不利絮凝劑的絮凝作用。由此可知,對于大慶油田含聚污水的絮凝處理最佳條件為pH=8。
2.3.2 產品分子質量以及陽離子度對絮凝效果的影響
體系pH為8、PAC投加質量濃度為1 600 mg/L、陽離子共聚物的投加質量濃度為1.5 mg/L 的條件下,對應的不同分子質量、不同陽離子度聚合物處理后溶液的濁度去除率和油含量去除率曲線見圖3、圖4。

?圖3 陽離子度及分子質量對濁度去除率的影響
?
圖4 陽離子度及分子質量對油含量去除率的影響
從圖3、圖4可以看出,產品陽離子度、分子質量對于濁度去除率和油含量去除率的影響趨勢是相同的:同一陽離子度的產品,其絮凝效果隨其分子質量的增大先增大后減小。這主要是因為,共聚物相對分子質量較低時,橋連能力較差,不能有效地把加PAC后形成的小絮體凝結在一塊,絮凝效果不好;共聚物相對分子質量為400萬左右時,分子鏈充分舒展,橋連作用充分發揮,絮凝效果最好;共聚物相對分子質量過高時,聚合物鏈在溶液中不能充分伸展,容易發生鏈段重疊而發生排斥作用,使其官能團利用率降低,影響了吸附架橋能力,絮凝效果因而有下降趨勢。而對于同一分子質量產品,絮凝效果也受陽離子度影響,大體絮凝效果優劣順序依次為:陽離子度為30%>陽離子度為20%、陽離子度為40%>陽離子度為10%的聚合物。從這點也可以看出,絮凝劑的陽離子度過大或過小均不利于絮凝,對于特定的污水應有一個具有最佳絮凝效果的陽離子度,而對于大慶油田含聚污水,藥劑的最優相對分子質量為400萬左右,最優陽離子度為30%左右。
2.3.3 產品投加量對絮凝效果的影響
體系pH為8、PAC投加質量濃度為1 600 mg/L、陽離子度30%、相對分子質量為400萬的條件下,對應的不同聚合物投加量下的濁度去除率和油去除率曲線如圖5所示。

?圖5 絮凝劑投加量對絮凝效果的影響
絮凝劑投加量太小,電性中和少,吸附架橋作用較弱,絮凝效果差;投加量過大,有利于電性中和與吸附橋架,所形成的絮體粒徑增加,沉降速度加快,但P(DMC-AM)又具有分散作用,大量的高分子絮凝劑吸附在懸浮顆粒表面將其包覆,會在其表面形成空間保護層,阻止吸附架橋結構的形成,使已經絮凝的絮體重新分散。另外,隨著投加量增大,溶液黏度變大,也不利于絮體的快速沉降。可見,絮凝劑投加量太小或太大,絮凝性能均不好,此實驗中聚合物的最佳投加質量濃度應為2.0 mg/L。具體參見污水技術資料更多相關技術文檔。
3 結論
用反相微乳液方法,以白油做有機相溶劑,自制馬來酸酐改性Span80與wt2524復配做乳化劑,通過改變引發劑用量、反應溫度、反應時間及單體配比制備出了一系列不同分子質量、不同陽離子度的P(DAC-AM)陽離子高分子絮凝劑,將其用于大慶油田含聚污水的絮凝處理試驗,結果表明,對于大慶油田含聚污水,陽離子高分子絮凝劑相對分子質量為400萬,陽離子度30%左右時,絮凝效果最好,在PAC投加質量濃度為1 600 mg/L、P(DAC-AM)投加質量濃度為2.0 mg/L、沉降時間為20 min、溶液pH為8條件下,含聚污水濁度去除率可達97%,油去除率可接近100%。
