1 引言
環境質量分析與評價方法主要有指數評價法、不確定評價法和智能評價模型等數十種之多(Flores,2002; Sanchez et al., 2007; Bokar et al., 2004; Li et al., 2011; Cai et al., 2002; Yang et al., 2007; Kuo et al., 2004; Dang et al., 2010; 邵磊等,2010),這些方法和模型各有其特點(李祚泳等,2012).其中,不確定評價法雖然在環境質量分析評價過程中能在一定程度上反映系統的模糊性、灰色性和不相容性等特性,但評價函數的設計和計算工作量皆很大,且評價函數設計無規律可循,主觀性較大;人工神經網絡等智能評價法雖然在建模過程中模擬了人類大腦思維,但無明確的物理意義,且模型參數需要優化,編程較復雜,使用不便;傳統的指數評價法雖然形式簡潔、計算簡單、結果直觀,但評價結果有時難以反映真實污染狀況.已有的各種環境質量分析評價公式、模型和方法均存在一個共同局限:可比性、普適性和通用性較差.環境質量分析評價過程實際上是將待評價樣本與各級標準樣本進行相似性比較,按其綜合特征值大小進行聚類和識別.
萬有引力存在于一切自然現象中.牛頓的萬有引力定律描述為:任何兩個物體之間存在相互作用的萬有引力,其數值大小與它們的質量m1和m2的乘積成正比,與它們之間的距離r12的平方成反比.由于客觀世界在某種意義上具有同一性,因此,已有學者將萬有引力定律應用于圖像識別和數據挖掘等問題的處理(顧麗敏等,2008;李衛平等,2006).受到上述研究的啟迪,亦可認為:任何兩個環境樣本之間也存在類似萬有引力的潛在的聚類相互作用的引力.因而只要將規范對稱性(不變性)思想與萬有引力定律相結合,在適當設定指標參照值和指標值的規范變換式及環境“參照級”樣本的基礎上,定義環境樣本的“規范質量”及“規范坐標”的概念后,就可將萬有引力定律引入環境質量評價、聚類和識別中,建立基于指標規范值的環境樣本(或環境標準樣本)與“參照級”樣本之間的相互吸引的環境質量的萬有引力指數公式(簡稱引力指數公式),本文并將其應用于4類不同功能水體環境(地表水、地下水、海水和湖泊富營養化水體)質量及室內、外空氣環境質量的實例分析評價.以期建立物理意義明確、科學合理、和諧統一、簡潔直觀、普適通用的環境質量評價指數公式,為環境保護、規劃、污染防治技術和管理決策提供理論基礎和技術手段.
2 環境指標的選取和指標參照值及指標值的規范變換式
依照國家制訂的地表水環境質量標準(GB3838— 2002)、地下水環境質量標準(GB/14848—1993)、海水環境質量標準(GB3097—1997)、適用于我國湖庫水體的富營養化標準及室外空氣環境質量標準(GB3095—1996)和室內空氣質量標準(GB/T18883—2002),分別選取了4類水體的95項指標(其中,地表水、地下水、海水和富營養化水體分別有24項、33項、23項和15項指標)和空氣的29項指標(其中,室內空氣15項指標和室外空氣7項指標的年、日2種不同分級標準情形)作為水環境和空氣環境的評價指標體系.
由于同類環境的不同指標的單位、量綱和同級標準數值都存在差異,因此,若直接依據各指標值描述環境質量不具有可比性和規范性,而采用“規范質量”表示環境質量較為方便.為此,對各指標j分別設定一個適當“參照值”cj0和相對于參照值cj0的規范變換式(1)~(7).各指標參照值cj0和指標值的規范變換式的設定原則為:通過對4類水體95項指標各級標準值的觀察、分析、比較和提煉,使4類水體不同指標的同級標準值經規范變換后的同級標準規范值x′jk差異盡可能小,而不同標準之間的標準規范值差異盡可能大.這一過程需要對選擇的cj0和規范變換式反復設置、試算和調整,直至滿足要求為止.從而可以認為用規范值表示的4類水體的所有95項指標皆可與某個規范指標“等效”;類似,用規范值表示室內、外空氣環境的29項指標也與某個規范指標“等效”.
式中,x′j 為指標j的規范值;xj為指標j的變換值,對4類水體和空氣指標j設定的變換式分別如式(2)~式(7)所示.
a.地表水指標值變換式:

b.地下水指標值變換式:

c. 海水指標值變換式:

d.富營養化指標值變換式:

e.室外空氣環境指標值變換式:

f.室內空氣環境指標值變換式:

式(2)~(7)中,cj為指標j的實測值或標準值;cj0為設定的指標j的參照值,4類水體95項指標的參照值cj0和室內、外空氣29項指標的參照值cj0分別如表 1和表 2所示.
表 1 4類水體95項指標的參照值
表 2 室內、外空氣29項指標的參照值
3 基于指標規范值的環境質量的引力普適指數公式
3.1 環境質量引力普適指數公式
由于環境質量類別的有序性,因此,將萬有引力定律用于描述環境質量時,需設定指標j的環境質量的“參照級”樣本,此“參照級”樣本的“規范質量”為Mj∞.設“參照級”樣本對環境各級標準樣本或其他環境樣本有潛在的聚類作用力,這種力可用引力公式來表示.依據萬有引力定律,其引力大小與指標j的“參照級”樣本的“規范質量”Mj∞和指標j的樣本的“規范質量”Mj(或指標j的各級標準樣本的“規范質量”Mjk)的乘積成正比,與它們之間的距離平方成反比.若以橫坐標表示樣本的“規范質量”,并用指標j的規范值x′j表示,即Mj= x′j,并規定任意指標j的“參照級”樣本的“規范質量”Mj∞皆等于“單位質量”,即有Mj∞=x′j∞=1(j=1,2,…,m).x′j∞=1的意義為“參照級”樣本的指標j的變換值xj∞足夠大.此外,以縱坐標表示樣本的“規范坐標”,并置“參照級”樣本的“規范坐標”于縱坐標軸上r′j∞=1處.因此,指標j的“參照級”樣本應位于x′j∞=1和r′j∞=1兩條直線的交點P,而各級標準樣本(或樣本)應位于坐標原點O與點P的連線上。其余各級標準樣本(或樣本)的“規范坐標”可用r′jk(或r′j)表示.因此,各級標準樣本(或樣本)與“參照級”樣本之間的“規范距離”應為1-r′jk(或1-r′j).然后依據萬有引力原理,指標j的各級標準樣本(或待評價樣本)與“參照級”樣本之間聚類相互吸引的環境質量引力指數公式為:

式中,Mj和Mj∞分別為指標j的樣本“規范質量”和“參照級”樣本“規范質量”;r′j為指標j的樣本的“規范坐標”,顯然r′j=x′j;G為環境質量引力常數,其取值大小只是為了控制指數Ij的尺度范圍,對評價結果無任何影響,為簡單起見,在此取G=1.從而式(8)可表示為:

式中,x′j為指標j的規范值;分母中(1- x′j)為環境樣本到設定的“參照級”樣本的規范距離;Ij為指標j的環境質量引力普適指數;x′b為對不同類型的環境設置的指標規范值的閾值.這是因為引力指數值Ij近似呈規范值x′j的三次冪增大,為了限制過大的x′j對綜合引力指數Ij的影響,而設置了閾值xb.xb一般設置為某類環境最嚴重污染等級的所有指標規范值均值 ′j的1.1~1.3倍.因此,對水質指標分5級標準,其最嚴重污染的第5級標準的所有指標規范值均值 ′j5≈0.45,故取其均值的1.1倍,即取閾值x′b=0.5;而對空氣指標分3級標準,其嚴重污染的第3級標準所有指標規范值均值 ′j3≈0.31,近似取其均值的1.3倍,即取閾值x′b=0.4.若污染物濃度的規范值x′j≥x′jb,則表明其對環境污染的危害程度已趨于飽和.從而得到4類水體的任一水質指標j的規范值x′j所表征水體樣本與指標j的“參照級”樣本之間的引力指數公式如式(10)所示.

式中,x′j 為水質指標j的規范值.
類似地,任一空氣指標的規范值所表征的室內、外空氣環境樣本與空氣指標的“參照級”樣本之間的引力指數公式如式(11)所示.

式中,x′j 為室內、外空氣指標j的規范值.
分別將4類水體95項指標的各級標準規范值x′jk代入式(10),對第1~4級標準,將4類水體各級標準的所有95項指標的引力指數值求平均;對第5級標準,將地表水、地下水和富營養化3類水體的72項指標的引力指數值求平均.由于海水只分4級,因此,得到4類水體總體的引力普適指數值的分級標準值Ik,具體如表 3所示.類似,將室內、外空氣的29項指標的引力指數值求平均,得到室內、外空氣質量的引力普適指數值的3級分級標準值Ik,具體如表 3所示.而m項指標的水質引力綜合指數公式和空氣質量引力綜合指數公式皆為:
表 3 4類水體及室內外空氣環境的引力普適指數的分級標準值Ik
式中,Ij為由式(10)或式(11)計算得到的指標j的引力指數值;wj為指標j的歸一化權值,即滿足∑ m j=1 wj=1,它可以視實際問題需要,采用某種方法確定.一般情況下,只要各指標的規范值x′j差異不大,可視各指標為等權即可;但若最大指標規范值x′j,max與最小指標規范值x′j,min差異較大,則可采用如式(13)所示的對各指標規范值x′j的線性加權計算權值.

3.2 引力普適指數公式的可靠性分析
由于不同的環境指標的單位、量綱和數值大小往往都不相同,因此,無論采用何種方法作綜合評價,都不可避免地必須對原始指標數據進行變換(比如極差歸一化變換、標準差變換和本文采用的規范化變換等),并將變換后的指標值代入模型、方法或公式進行分析、計算.因此,經多次變換后難免數據不失真,對公式的計算結果的可靠性有一定影響,此種影響程度可以通過對引力指數公式的靈敏度分析來確定.
由式(10)或式(11),可得:
又由式(1),可得:

而變換式(2)~(7)皆可表示為如式(16)所示的一般形式.
式中,n為可正、可負的實數.由式(16)可得:
將式(17)、(15)代入式(14)得:

根據系統靈敏度定義,引力指數I對指標測值cj的靈敏度Sc如式(19)所示.

式中,
和
分別表示引力指數的相對誤差和指標測值的相對誤差.式(19)可寫為:
比較式(18)和式(20),可得如式(21)所示的靈敏度計算式.

若n固定,將Sc對x′j求導,并令S′c=0,得x′j=
-1≈0.4142時,Sc有極小值0.5828n.由于變換式(2)~(7)中,對多數指標只取n=±2、±1、±0.5.而公式(10)和式(11)中,x′j 取值范圍為x′j∈[0,0.5](對水體),x′j∈[0,0.4](對空氣).當n為上述值時,x′j 分別取為如表 4所示值時,由式(21)計算得靈敏度Sc值如表 4所示.
表 4 相應于不同規范值x′j 的引力指數I對于指標監測數據cj的靈敏度Sc
從表 4可見,當變換式的參數n∈[-1,1]時,其各級標準范圍內模型靈敏度Sc≤1,即引力指數I對指標測值cj的靈敏度Sc為低靈敏度模型,表明實測值的相對誤差
不會被放大,反而被縮小;只有當n=±2的變換,才有可能被放大,但引力指數I的相對誤差
也僅是
的1~2倍,故引力指數公式具有可靠性.
4 實例分析
為了驗證式(10)和式(11)用于水體環境質量和空氣環境質量評價的可行性和實用性,以下應用6個實例對式(10)和式(11)進行驗證.
4.1 地表水水質評價實例分析
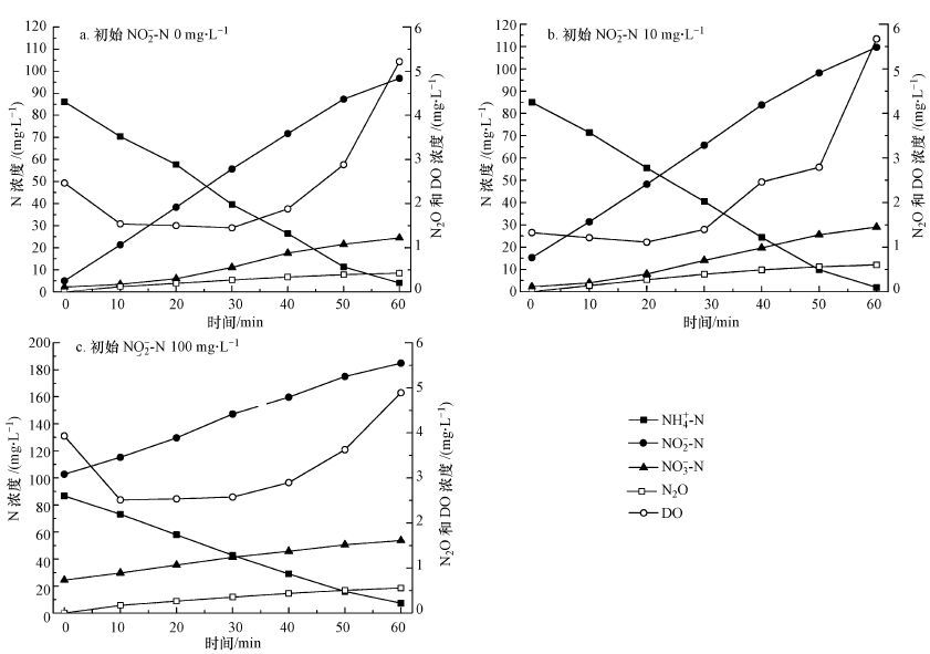
2008年圖們江干流6個斷面的6項地表水水質指標監測數據cj(唐立新等,2010),以及由式(1)和式(2)計算得到的指標規范值x′j如表 5所示.對斷面2和3,采用式(13)對引力指數值進行加權計算;其余斷面在視指標為等權的情況下,用式(10)和式(12)計算得到各監測點水質引力綜合指數值,并根據表 3中3類陸地水體的引力綜合指數值的分級標準做出水質類別判斷結果(表 5).表 5中還列出了參考文獻(唐立新等,2010)中用密切值法作出的評價結果.可以看出,利用引力普適指數公式和用密切值法對6個斷面水質做出的評價結果,完全一致.
表 5 圖們江各斷面水質指標監測數據cj(mg · L-1)及規范值 x′j和評價結果
4.2 地下水水質評價實例分析
豐縣5個監測點的5項地下水指標監測數據cj(劉洪等,2009),以及由式(1)和式(3)計算得到的指標規范值x′j如表 6所示.在視各指標為等權情況下,用式(10)和式(12)計算得到各監測點水質引力綜合指數的指數值,并根據表 3中3類陸地水體的綜合指數值分級標準做出水質類別判斷結果(表 6).表中還列出文獻(劉洪等,2009)中用多屬性決策分析法(TOPSIS)做出的評價結果,可以看出,2種方法做出的評價結果完全一致.
表 6 豐縣5個地下水監測點的指標監測數據cj(mg · L-1)及其規范值 x′j和評價結果
4.3 海水水質評價實例分析
珠江口2002—2003年3個站點8項海水指標監測數據cj(李占東等,2005)如表 7所示.由式(1)和式(4)計算出的指標規范值x′j如表 8所示.由于站點1的2003-8和站點2的2002-5,2002-8和2003-5樣本不同指標的規范值x′j相差較大,因而需用式(13)對引力指數值進行加權計算外.其余日期采樣點則視各指標為等權,再用式(10)和式(12)計算得到各站點海水水質引力綜合指數值,并根據表 3中海水水質引力指數分級標準做出評價結果(表 8).表中還列出文獻(李占東等,2005)中用BP人工神經網絡評價法做出的評價結果.可以看出,全部12個樣本2種方法的評價級別完全一致.
表 7 珠江口2002—2003年3個站點水質指標監測數據cj
表 8 珠江口2002—2003年3個站點水質指標規范值 x′j和評價結果
4.4 湖庫富營養化評價實例分析
長江中下游45個湖泊的5項富營養化指標監測值cj(李祚泳等,2010),以及由式(1)和式(5)計算出的指標規范值x′j如表 9所示.在視各指標為等權情況下,用式(10)和式(12)計算出引力綜合指數的指數值,并根據表 3中3類水體的綜合指數值分級標準作出的水質類別判斷結果(表 9).表中還列出文獻(李祚泳等,2010)用營養狀態指數公式TSIc作出的評價結果.可以看出,2種方法作出的評價結果完全一致.
表 9 長江中下游45個湖泊富營養化指標監測數據cj及其規范值 x′j和引力指數公式評價結果
?
?
4.5 室外空氣環境質量評價實例分析
武漢市不同測點的空氣指標日平均濃度監測數據cj(郭紹英等,2009),以及由式(1)和式(6)計算出的指標規范值x′j如表 10所示.在視各指標為等權的情況下,將表 10中的3項指標規范值x′j分別代入式(11)和式(12)所示的引力指數公式,計算得到武漢市各測點空氣質量引力綜合指數值,并根據表 3中空氣環境質量綜合指數值分級標準作出的判斷結果(表 10).表中還列出了參考文獻(郭紹英等,2009)中用集對分析法作出的評價結果.可以看出,引力指數公式評價結果與集對分析評價結果完全一致.
表 10 武漢市不同測點空氣質量監測數據cj及其規范值x′j和評價結果
4.6 室內空氣環境質量評價實例分析
2002年11—12月長春市30個室內樣本5項指標監測數據cj(湯紅巖等,2005),以及由式(1)和式(7)計算出的指標規范值x′j如表 11所示.由于樣本1、11~15、26和27的不同指標計算得到的規范值相差較大,因此,在用式(12)計算引力綜合指數時,需用式(13)對引力指數值進行加權計算,其余22個樣本的指標視作等權,計算得到各樣本引力綜合指數值,并根據表 3中空氣環境質量引力指數分級標準做出評價結果(表 11).表中還列出文獻(湯紅巖等,2005)中用層次分析評價法做出的評價結果.由于文獻(湯紅巖等,2005)中的層次分析評價法將室內空氣污染劃分為清潔(1*級)、未污染(2*級)、輕污染(3*級)、中污染(4*級)和重污染(5*級)等5級;而本文引力指數法將其劃分為1級、2級、3級.二者對應關系為:(1*級清潔、2*級未污染)對應1級,(3*級輕污染)對應2級,(4*級中污染、5*級重污染)對應3級.由表 11可以看出,二種方法評價結果完全一致.具體參見 污水處理技術資料或污水技術資料更多相關技術文檔。
表 11 長春市30個室內樣本監測數據cj及其規范值 x′j和評價結果
??
5 結論
基于“萬有引力”原理和“規范變換”思想的水環境質量及空氣環境質量的引力普適指數公式,物理意義明確,理論依據充分,對用規范值表示的4類水體任意水質指標和室內、外空氣指標皆普適、通用.對于除表 1中4類水體的95項指標或表 2中室內、外空氣的29項指標以外的其他水質指標和空氣指標,只要能適當設定其參照值和指標值的規范變換式,使由規范變換式計算出的各級標準的規范值在表 1或表 2中指標的同級標準規范值變化范圍內,則水環境或空氣環境質量的引力指數公式(10)和公式(11)及表 3中給出的引力普適綜合指數分級標準對這些指標同樣適用.因此,環境質量引力指數公式具有更廣泛意義的普適性.通過多個實例驗證了環境質量引力指數公式的合理性、實用性和可行性,從而為環境質量評價提供了一種新方法.同時,本文提出的“規范質量”、“規范坐標”,“規范指標”,“等效指標”等新概念及環境質量規范變換思想、方法和引力普適指數公式易于拓廣用于生態環境、水資源的可持續利用、水資源承載力、水安全和可持續發展等相關學科和領域的研究.















