1 引言
近年來,隨著我國經濟的快速發展,越來越多含氮污染物的任意排放給環境造成了極大的危害.氮在廢水中以有機態氮、氨態氮、硝態氮及亞硝態氮等多種形式存在,而氨態氮是最主要的存在形式之一.研究表明,高濃度的氨氮廢水會導致地表水的富營養化,使水體環境遭到破壞,甚至嚴重威脅到了居民生活飲用水的安全.目前,氨氮廢水的處理方法主要有以下幾種:生物化學法、沉淀法、離子交換法、膜分離法、折點氯化法、濕式氧化法、吹脫及汽提法、高級氧化技術.其中,電化學氧化技術是高級氧化技術的一種,其利用電極表面的電氧化或電場作用而產生的自由基氧化有機物,因具有可控性好、操作簡單、規模小、成本低、無二次污染等其他處理方法難以比擬的優越性,近年來受到人們的極大關注.然而電化學氧化技術的一個限制因素就是電極材料,因此,新型電極材料的研發成為相關研究領域的熱點.鈦基摻雜改性PbO2電極因具有高壽命、導電性好、耐腐蝕性強、高電催化活性等優點成為目前研究的重點.然而大多數研究是限定在摻雜一些常見的金屬離子,如Fe3+、Co2+、Mg2+、稀土金屬等,這些金屬元素的摻雜一方面效果不是很好,另一方面成本較高.選擇摻雜鉍來進行電極改性是近年來比較熱門的研究,如Reddy等通過摻雜鉍改性TiO2來提高光催化活性,孫峰等通過摻雜鉍來改善MnO2的可充性等.說明鉍在支持改善晶格和結晶度方面有很好的作用,且鉍源的成本低.同時,楊衛華等也對PbO2電極進行了摻雜鉍的改性研究,發現摻雜鉍可以提高PbO2電極的電化學特性和化學穩定性.因此,本文主要利用摻雜鉍的Bi-PbO2電極電催化降解水中的氨氮,對其電化學氧化性進行研究,并探討Bi-PbO2電極降解氨氮廢水的工藝條件和機理.
2 材料與方法
2.1 試劑及儀器
Pb(NO3)2、PbO、NaF、無水Na2SO4、HNO3、NaOH、(NH4)2SO4、Bi(NO3)3、NaCl、H2SO4、草酸等均為分析純.KXN-1003D直流穩壓電源、TU-1901型分光光度計、FA/JA電子天平、雷磁PHS-3C型pH計、SU8020掃描電鏡、D/MAX2500V X射線衍射儀器、X射線光電子能譜儀、CHI-660C電化學工作站.
2.2 電極制備
Bi-PbO2電極包括基體、中間層、表面活性層3部分.基體:先分別用320目和600目砂紙打磨鈦網(6 cm×7 cm×0.9 mm)至光亮,然后將鈦網放進40%氫氧化鈉溶液中,90 ℃恒溫水浴30 min脫脂,取出用蒸餾水沖洗后放入10%草酸溶液中,加熱至沸騰,保持微沸2 h至表面形成灰色均勻麻面,然后取出用蒸餾水沖洗放入無水乙醇中備用.中間層α-PbO2:電沉積溶液為PbO溶于3.5 mol · L-1氫氧化鈉的飽和溶液,在0.6 A的電流下電鍍2 h.表面活性層β-PbO2:電沉積溶液為0.5 mol · L-1 Pb(NO3)2、0.012 mol · L-1 NaF、5 mmol · L-1 Bi(NO3)3,用HNO3調節pH為1.5,先在電流密度50 mA · cm-2下電沉積30 min,然后在電流密度25 mA · cm-2下電鍍60 min,保持鍍液溫度在65 ℃,并用磁力攪拌器攪拌.同時按上述步驟制備出純PbO2電極.
2.3 降解實驗
電解裝置如圖 1所示,以制備的Bi-PbO2電極作為陽極,同等面積大小的鈦網作為陰極.向電解槽中加入300 mL的氨氮模擬廢水,一定濃度的Na2SO4作為支持電解質,在不同的影響因素下進行電氧化試驗.氨氮濃度采用納氏試劑分光光度法測定,硝酸鹽氮和總氮濃度采用紫外分光光度法測定,HO ·濃度采用孔雀石綠光度法測定:在50 mL比色管中加入濃度為1.0×10-4 mol · L-1的孔雀石綠溶液10 mL,以及pH為4.0的磷酸氫二鈉-檸檬酸緩沖液5 mL和二次蒸餾水,再加入5 mL電解液并搖勻,放置60 min后于620 nm處測定吸光度A;同時,在其他條件相同的情況下,不加電解液而加入5 mL二次蒸餾水并搖勻,放置60 min后于620 nm處測定吸光度A0做空白,計算△A,通過標準曲線得出相應的HO ·濃度.

圖 1 電解裝置
3 結果與討論
3.1 電極表征
3.1.1 電極的SEM表征
純PbO2和Bi-PbO2電極表面活性層的SEM圖譜(放大5000倍)如圖 2所示.可以清楚地看出,Bi-PbO2電極的表面呈現典型的四面體結構,緊湊且有規律地排列,而純PbO2電極表面粗糙且有裂縫.說明摻雜鉍可以使電極表面的排列更加緊密,不僅使電極表面的活性層更好地與基體相結合,而且增加了活性層的比表面積.

圖 2 純PbO2(a)和Bi-PbO2(b)電極的電鏡掃描圖
3.1.2 電極的XRD表征
純PbO2和Bi-PbO2的XRD圖譜如圖 3所示.從圖中可以看出,PbO2和Bi-PbO2都有明顯的β-PbO2的衍射峰,說明兩種電極表面所含的PbO2大部分都是β-PbO2,僅含少量的α-PbO2.而β-PbO2較α-PbO2具有導電性好、催化活性強等優點.通過兩圖對比發現,32°、49.1°衍射角度下Bi-PbO2的β-PbO2衍射峰強度比PbO2要強,說明摻雜Bi后的PbO2晶核的結晶度變高.觀察兩圖β-PbO2衍射峰的寬度發現,Bi-PbO2的寬度比PbO2要寬,根據Scherrerg公式(D=Kλ/Bcosθ,其中,D為晶粒垂直于晶面方向的平均厚度(nm),B為實測樣品衍射峰半高寬度(rad),θ為衍射角(°),λ為X射線波長(nm)),衍射峰的寬度與晶粒垂直于晶面方向的平均厚度成反比,因此,Bi-PbO2和PbO2相比具有較小的晶粒尺寸,較小的晶粒尺寸使得電極的催化比表面變大.

圖 3 純PbO2和Bi-PbO2晶體的XRD圖
3.1.3 電極的XPS表征
采用X射線光電子能譜儀對Bi-PbO2電極表面活性層中的元素形態進行分析.從圖 4可以看出,在結合能為159.1 eV處出現了峰值,根據能譜手冊發現,Bi是以三價態形式存在.Shmychkova等提出,當外界給與足夠大的能量,二氧化鉛晶核結構就會出現變化,內部的Pb4+丟失形成空穴.因此,可以推斷出其中的Bi3+取代了一部分的Pb4+,使得PbO2的晶格發生改變,結合以上結論證明摻雜鉍使得PbO2表面活性層的物理特征發生改變.

圖 4 Bi-PbO2電極表面活性層XPS表征
3.1.4 電極的析氧電位分析
純PbO2和Bi-PbO2電極在0.5 mol · L-1 H2SO4溶液中的陽極極化曲線如圖 5所示.由圖可以看出,Bi-PbO2的析氧電位為1.8 V,純PbO2的析氧電位為1.7 V,相比之下,Bi-PbO2擁有更高的析氧電位.由于析氧反應是電催化氨氮廢水中產生HO ·的競爭副反應,因此,較高的析氧電位可以抑制氧氣的析出,從而提高HO ·的生成.HO ·具有強氧化性,參與氨氮的間接氧化,能夠提高氨氮的去除效果.

圖 5 純PbO2和Bi-PbO2電極的陽極極化曲線
3.1.5 電極的壽命測試
根據梁鎮海等提出的電極壽命測定方法,將2種電極置于2 mol · L-1的硫酸溶液中,調整電流面密度為1.5 A · cm-2,溫度為60 ℃,觀察電極槽電壓變化情況.當Bi-PbO2電極電解38 h左右時,電壓出現了驟升,電極表面鍍層開始脫落,電極失效,而純PbO2電極在電解了22 h時就出現上述情況,因此,Bi-PbO2的穩定性比純PbO2電極要好.根據有關文獻提出的經驗公式(1),電極的使用壽命與電流密度的平方成反比,可以換算成電極在一般工業電流密度(1000 A · m-2)下的工作時間(T).通過計算得出T=8550 h,換算成天數為356 d左右.

式中,i1為測試電流密度,本文取值為1.5 A · cm-2;i2為工業電流密度,本文取值為1000 A · m-2;t為測試電流密度下的使用壽命(h);T為工業電流密度下的使用壽命(h).
3.2 電化學降解氨氮影響因素的探討 3.2.1 電流密度的影響
電流密度是影響電化學降解氨氮的主要因素,實驗在氨氮濃度為50 mg · L-1、Na2SO4濃度為0.05 mol · L-1,電極間距為2 cm、控制pH=5的條件下,電氧化降解3 h,觀察Bi-PbO2電極在不同電流密度下的氨氮降解效率,結果如圖 6a所示.從圖中可以看出,隨著電流密度的增加,氨氮的去除效率提高,當電流密度為50 mA · cm-2時,電解180 min后氨氮完全去除.當提高電流密度為60 mA · cm-2時,電解150 min后氨氮完全去除.這是由于電流密度增加促進了電子在溶液中的遷移,同時,實驗中電極周圍產生大量氣泡,起到了一定的曝氣和攪拌作用,加快了電子在電極和氨氮廢水之間的轉移速率,從而提高了降解的速率.從圖 6b可以看出,隨著電流密度的提高,HO ·的濃度也隨著提高,從而加快了氨氮的間接氧化速度.這是由于PbO2電極在電催化氨氮溶液的同時,陽極表面的水分子和帶正電荷的氧化物空穴h+發生反應,生成了具有強氧化性的HO ·,吸附的HO ·有效地氧化氨氮為氮氣和水,反應如式(2)~(3)所示(Fleszar et al., 1985).但過高的電流密度一方面增加了能耗,另一方面降低了電極的壽命,因為電極的壽命與電流密度成反比,.綜上所述,實驗所取電流密度不能過高,因此,選擇40 mA · cm-2作為電流密度參數.


圖 6 電流密度對氨氮去除效果的影響(a)及其與HO ·濃度的關系(b)
3.2.2 pH的影響
pH值是影響氨氮去除效果最重要的一個因素.利用Bi-PbO2作為陽極,在電流密度為40 mA · cm-2,氨氮初始濃度為50 mg · L-1,電解質Na2SO4濃度為0.05 mol · L-1的條件下,調節溶液的pH,電解3 h后的結果如圖 7a所示.由圖可以看出,氨氮的去除效率隨pH的升高而提高,在堿性條件氨氮的去除效果比酸性條件下好,當pH=12時,氨氮的去除效果達到最佳,且完全去除時間最短.氨氮在溶液中的存在形態取決于溶液的pH值,一般當溶液pH<7時,氨氮主要以NH+4形式存在;當pH>11時,氨氮主要以游離態氨分子存在,而氨分子更容易被電化學氧化.電解的同時也發現電極表面會產生很多細小的氣泡,間接地起到了曝氣的效果.實驗表明,在pH=12時,僅僅通過曝氣(效果如同電解過程中產生的曝氣效果),氨氮溶液中有9%~11%的氨氮將被去除,而在pH=7的時候,沒有觀察到此現象,說明堿性條件下氨氮的去除是由電氧化降解和吹脫共同完成的.圖 7b為Bi-PbO2電極在不同初始pH的氨氮溶液中電解3 h后所產生HO ·的濃度.從圖中可以看出,酸性和中性條件下HO ·的濃度變化不大,在堿性條件下,HO ·的濃度先升高再降低,當pH=12時,HO ·的濃度達到最大值.這與圖 7a中當pH=12時的氨氮去除率相一致,說明在堿性條件下,氨氮一部分是被溶液中產生的HO ·間接氧化去除的.具體過程如式(4)~(6)所示.


圖 7 初始pH對氨氮去除的影響(a)及其與HO ·濃度的關系(b)
為了繼續考察不同pH條件下氨氮的電催化活性,分別以Bi-PbO2為工作電極,金屬鉑片為輔助電極,飽和甘汞電極為參比電極,構成三電極體系,在CHI-660C電化學工作站上進行循環伏安測試.電解液分別為50 mg · L-1氨氮、0.05 mol · L-1Na2SO4、pH=5的溶液和50 mg · L-1氨氮、0.05 mol · L-1Na2SO4、pH=12的溶液,掃描速度為50 mV · s-1,掃描范圍為-0.6~1.6 V,結果見圖 8a.由圖可知,在pH=5時,電極的循環伏安曲線并沒有出現明顯的氧化峰,說明當氨氮以離子態形式存在時,氨氮在陽極表面直接電氧化反應非常微弱,可能是電極表面發生了析氧反應.當pH=12時,電極在電壓為0.7 V時出現了明顯的氧化峰,說明在堿性條件下,氨氮在電極表面發生了直接電氧化反應,具體如式(7)所示.圖 8b為在不同初始pH條件下電解3 h后溶液中硝酸鹽氮的濃度.可以看出,在不同初始pH條件下,氨氮的電氧化降解都有硝酸鹽氮的生成,產生硝酸鹽氮的濃度都不是很大;當pH=12時,硝酸鹽氮的濃度達到最大,這與圖 7b中HO ·的濃度有著直接的關系,進一步說明氨氮的降解不僅有直接電化學氧化,還存在著間接電化學氧化.

圖 8 不同pH條件下Bi-PbO2電極的循環伏安曲線(a)及產生的硝酸鹽氮(b)
綜上所述,以Bi-PbO2電極作為陽極電氧化降解氨氮廢水時,堿性條件下氨氮廢水的降解效果好,最佳pH為12.酸性條件下氨氮的去除主要是通過間接氧化去除,直接電氧化不明顯.堿性條件下氨氮的去除是通過直接電氧化和間接氧化共同完成的,過程中伴隨著曝氣吹脫作用.
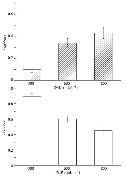
3.2.3 Cl-的影響
由于Cl-的特殊性及電氧化過程中間接氧化對氨氮去除的影響,實驗中引入Cl-主要是為了提高溶液的導電性、降低能耗,并降低氧氣的析出,提高氯氣析出的電流效率,從而增加有效氯(Cl2、HClO、ClO-)的產生量以促進氨氮的氧化.在電流密度為40 mA · cm-2,氨氮初始濃度為50 mg · L-1,Na2SO4濃度為0.05 mol · L-1的條件下,調節pH為5,向電解液中加入不同濃度的NaCl溶液,保持溶液中的Cl-濃度分別為400、600、800、1000 mg · L-1,觀察不同Cl-濃度下氨氮的電氧化降解效果,結果如圖 9a所示.由圖可以看出,當溶液中Cl-濃度為400~600 mg · L-1,電解3 h后,溶液中的氨氮全部被氧化降解;當Cl-濃度為800 mg · L-1時,電解150 min后,氨氮濃度已經降解完全.說明Cl-濃度越大,溶液的導電性就越大,在電解的過程中形成具有強氧化性的Cl2、HClO、ClO-的量就越多,間接氧化氨氮的速率也不斷提高,反應過程如式(8)~(10)所示.當增加Cl-的濃度到1000 mg · L-1時,同樣電解150 min后氨氮完全降解,但降解速率提升不大.這可能由于大量的Cl-吸附于電極表面,降低了擴散速率,阻礙了HO ·和有效氯的電極反應,使得氨氮的去除速率相對變得緩慢.電極的表面隨著電解時間的延長出現了一層白色的薄膜,出現鹽析的現象,這對電極壽命具有一定的破壞作用,因此,Cl-濃度的添加要適量.圖 9b為不同氯離子濃度下,電解3 h后溶液中硝酸鹽氮和總氮的濃度(亞硝酸鹽的濃度很低可以忽略).由圖可知,隨著氯離子濃度的提高,溶液中硝酸鹽的生成量越來越多,總氮也越來越大.這是因為電解過程中生成的游離氯越來越多,次氯酸和氨氮反應會生成了氯胺.陳金鑾等研究表明,隨著pH的升高,產生氯胺的量越來越低,有效氯的量越來越高.


圖 9 不同Cl-濃度對氨氮去除的影響(a)及產生硝態氮和總氮的量(b)
為了考察Cl-在不同初始pH條件下對氨氮去除效果的影響,在電流密度密為40 mA · cm-2,氨氮濃度為50 mg · L-1,Cl-濃度為600 mg · L-1,電解液Na2SO4濃度為0.05 mol · L-1的條件下,調節溶液初始pH,電解3 h后的結果如圖 10所示.由圖可知,在pH為3~5時,電解180 min后氨氮才能完全去除,隨著pH的提高,氨氮完全去除的時間縮短,當pH=12時,電解120 min后氨氮完全去除.在酸性條件下,電解產生的Cl2容易逸出,隨著pH的提高,其溶解量增大,促進了游離氯生成,氨氮的去除率增大;然而隨著堿性的增加,會有ClO-3的生成(式(12)),降低了游離氯的生成,氨氮的氧化速率降低.但體系中有氯離子存在時,溶液中的HO ·濃度基本上低于5×10-15 mol · L-1.因此,當有氯離子存在時,抑制了溶液中HO ·的產生,溶液中的氨氮主要是通過有效氯的間接氧化去除的.

圖 10 添加600 mg · L-1氯離子后不同pH條件下氨氮的去除效果
為了考察Cl-存在對氨氮的電化學反應的影響,以Bi-PbO2為工作電極,金屬鉑片為輔助電極,飽和甘汞電極為參比電極,構成三電極體系,在CHI-660C電化學工作站上進行循環伏安測試.電解液分別為50 mg · L-1氨氮、0.05 mol · L-1 Na2SO4和50 mg · L-1氨氮、0.05 mol · L-1 Na2SO4,Cl-濃度為600 mg · L-1,掃描速度為50 mV · s-1,掃描范圍為-0.6~1.6 V,結果如圖 11所示.由圖可以看出,Bi-PbO2在兩種溶液中的循環伏安曲線均沒有出現氧化峰,說明引入Cl-后,氨氮在此電極陽極表面沒有發生直接電氧化反應,進一步說明氨氮主要是被電解過程中產生的活性氯間接氧化去除,其過程如式(8)~(11)所示.


圖 11 添加Cl-前后Bi-PbO2電極的循環伏安曲線
3.2.4 兩種電極電催化活性的比較
以純PbO2電極和Bi-PbO2電極作為工作電極,在電流密度為40 mA · cm-2,氨氮初始濃度為50 mg · L-1,Cl-濃度為600 mg · L-1,pH=12,間距為2 cm的條件下,電解3 h觀察兩種電極降解氨氮的催化效率,結果如圖 12所示.從圖中可以看出,Bi-PbO2電極在電解120 min后氨氮完全去除,而PbO2電極電解150 min后的氨氮去除率僅僅為93.6%.因此,Bi-PbO2電極的電催化活性明顯高于純PbO2電極,這與Bi-PbO2電極的物理化學特性的改變有直接的關系.具體參見 污水處理技術資料或污水技術資料更多相關技術文檔。

圖 12 純PbO2電極和Bi-PbO2電極的氨氮去除效率
4 結論
1)通過SEM、XRD、XPS對電極表面形態及元素形態進行表征,發現摻雜鉍改善了PbO2的表面結構,晶核尺寸變小,使得PbO2電極表面活性層的表面更加緊湊,反應比表面積變大.
2)通過陽極析氧曲線和壽命測試發現,Bi-PbO2電極的穩定性和壽命好于純PbO2電極.
3)利用Bi-PbO2電極降解氨氮廢水,氨氮的去除效率隨電流密度的增加而提高,堿性條件下氨氮的去除效果明顯好于酸性條件,適量濃度Cl-的引入在堿性條件下提高了氨氮的去除效果.當氨氮初始濃度為50 mg · L-1,電流密度為40 mA · cm-2,pH=12,Cl-濃度為600 mg · L-1時,電解120 min后,氨氮100%去除,其去除效果明顯好于純PbO2電極,說明摻雜鉍提高了PbO2電極的電催化活性.
4)氨氮廢水的降解機理主要表現在:體系中不添加氯離子,酸性條件下氨氮的去除主要是通過間接氧化去除,堿性條件下氨氮的去除是通過直接電氧化和間接氧化共同完成的,過程中伴隨著曝氣吹脫作用.體系中添加氯離子,氨氮的去除主要是通過溶液中生成的有效氯間接氧化去除.
