1 引言
氯苯類化合物作為農藥及染料合成中間體、清洗溶劑及脫脂劑成分廣泛使用.自然界微生物缺乏降解此類化合物的酶或酶系統,很難進行生物處理,微生物降解菌的篩選和降解性能研究是實現生物降解持久性有機污染物的關鍵.1,2,3,4-TeCB在GB 6944—2005中危險標記為14(有毒物品),是一種典型的氯苯類化合物,對人體的皮膚、上呼吸道和粘膜有刺激作用,可在人體內積累.目前四氯苯的研究主要圍繞其物理特性和毒性.四氯苯的晶體結構和混合晶體結構,在水和空氣之間的傳質作用,沉積物和懸浮物對1,2,3,4-TeCB的吸附作用,1,2,3,4-TeCB對孕鼠肝和生殖率影響等均有廣泛研究.對于低分子氯苯類化合物及首先被限制使用的六氯苯微生物降解已有一些報道.但關于TeCBs的微生物降解研究卻鮮有報道.研究發現,五氯苯、六氯苯在降解過程中往往存在1,2,3,4-TeCB中間產物,這表明1,2,3,4-TeCB的降解是高氯苯化合物降解的關鍵步驟.本文從某氯苯試劑廠的土壤中取樣,篩選出一株以1,2,3,4-TeCB作為唯一碳源的降解菌,并研究了該菌株對1,2,3,4-TeCB降解效果及降解途徑,為微生物降解氯苯類物質提供實驗依據.
2 材料和方法
2.1 原料與試劑
所用土樣取自廣東某化學試劑廠長期受四氯苯污染的土壤作為菌株分離源.
化學試劑:1,2,3,4-TeCB、丙酮、正己烷等試劑均為優級純.培養基:常規牛肉膏蛋白胨;無機鹽培養基(組分不含Cl-)均為常規配方(試劑均為分析純)
2.2 主要實驗儀器
生化培養箱;恒溫水浴振蕩器;超凈工作臺;高速離心機;COD消解儀;離子色譜儀;高效液相色譜;氣相色譜-質譜聯用儀.
2.3 菌種富集和分離純化
取1 g土壤于100 mL蒸餾水 中,搖床振蕩15 min,樣品稀釋后直接涂布在100 mg · L-1 1,2,3,4-TeCB的無機鹽培養基.待長出菌落后,挑取單菌落在高濃度(250 mg · L-1)1,2,3,4-TeCB的液體培養基馴化.經過5~7 d馴化后(定期更換培養液),取1~2 mL菌液涂布于1,2,3,4-TeCB為唯一碳源的無機鹽平板,30 ℃恒溫培養,挑選生長較快的單菌落接種到100 mg · L-1 1,2,3,4-TeCB液體無機鹽培養基中振蕩培養;多次平板劃線分離,獲得單菌落.
2.4 菌株形態觀察、生長曲線及16S rDNA序列分析
將純化后的菌株在固體培養基上進行劃線培養,待長出單個菌落后進行形態觀察;對菌株進行革蘭氏染色觀察;用OD600處測定生長曲線.PCR產物經凝膠電泳分析檢測后將PCR產物送至廣州工業微生物檢測中心回收并測序.
2.5 菌株對1,2,3,4-四氯苯降解效果的研究
實驗所用廢水為25 mg · L-1 1,2,3,4-TeCB模擬廢水,pH 7.
取200 mL無機鹽培養基置于500 mL錐形瓶中,經高溫滅菌后,配置成25 mg · L-1的模擬廢水,分別加入2%、3%、5%的菌懸液.30 ℃,110 r · min-1.接種后每天定時取樣.分別測定模擬培養液中COD、Cl-濃度、1,2,3,4-TeCB濃度的影響,連續測定7 d.每組3個平行.
1)COD測定:快速消解分光光度法.
2)氯離子濃度測定:樣品測定前,樣品經過0.22 μm 微孔過濾膜,用離子色譜儀測定氯離子濃度.
3)1,2,3,4-TeCB濃度測定:用高效液相測定.前處理:廢水經0.22 μm微孔過濾膜過濾,測定過濾液中1,2,3,4-TeCB.測定條件:TH 1015型C18酸性柱;流動相為甲醇與水按85:15體積比混合;柱溫25 ℃;進樣體積10 μL;雙波長檢測:波長為214 nm、216 nm.
2.6 降解特性分析
不同處理時間的廢水經0.22 μm 微孔過濾膜過濾,吹掃捕集后,利用氣相質譜聯用儀(GC-MS)測定氯苯降解情況及產物分析.吹掃捕集條件:吹脫時間:11 min;吹脫溫度:350 ℃;解析溫度:225 ℃;解析時間:6 min;烘烤溫度:235 ℃;烘烤時間:5 min.注入樣品5 mL.色譜條件:檢測器溫度:300 ℃;進樣口溫度:260 ℃;柱箱溫度:起始60 ℃,保持2分鐘,以5 ℃ · min-1的速度升溫至160 ℃,保持2 min.分流比:10 ∶ 1.
3 結果與分析
3.1 菌株生理生化特性、16S rDNA序列分析及生長曲線
以1,2,3,4-TeCB為唯一碳源富集、分離、馴化微生物,篩選出一株在固體培養基上能快速生長的菌株,命名為L-1號菌.菌落表面圓滑,不透明,呈白色或微黃色.菌株為短桿狀,無鞭毛,能運動,能產生中生芽孢.菌株革蘭氏染色結果為陽性菌(G+),如圖 1所示.在此基礎上,對L-1號菌的16SrDNA基因系列運用Basics BLAST軟件分析,和Genbank比對,L-1菌ITS序列與Bacillus subtilis AF0907(枯草芽孢桿菌)和Bacillus carboniphilus JCM9731具有最高的同源性,均達到98.5%以上.結合生理生化特性,初步鑒定該菌株為枯草芽孢桿菌.為了解菌株生長特點,對L-1號菌進行生長曲線的測定,見圖 2.

?圖1 菌株 L-1 的菌落形態和革蘭氏染色
?
圖2 菌株 L-1 的生長曲線
從圖 2中可見該菌株在0~3 h生長較慢,5 h后迅速進入生長期,表明該菌株潛伏期較短能夠快速適應生長環境,進入對數生長期.12~34 h該菌株生長減慢,進入穩定期,直到30 h后該菌株一直處于穩定期,表明該菌株生長代謝穩定期長,降解潛能較大,利于工業應用.在菌株培養了15 h后,菌的濃度能達到約108 cfu.為實驗用菌提供保證.
3.2 不同接種量對反應液COD的影響
將菌株制成菌懸液(108 cfu),測定不同接種量對25 mg · L-1模擬廢水COD降解效果,初步反映菌液中有機污染物的量,結果見圖 3.

?圖3 接種量對廢水COD累積降解率的影響
從圖 3可見,隨著時間增長,反應液COD累積降解率逐漸增大,接種濃度越大降解率越高.7 d后降解率分別達到:32.61%;53.79%;62.71%.在第1~2 d時,菌株生長處于對數期,降解效果好,反應液COD降解較快.在第3 d后水中COD累積降解率穩步增加,菌株生長趨于穩定.3~7 d COD累積降解率斜率基本一致,表明單位時間菌體的降解效率穩定.與圖 2中菌株生長曲線相對應.說明L-1菌株生長代謝穩定強,能充分利用廢水中的有機物.說明該菌株并不能迅速的將1,2,3,4-TeCB完全礦化.在5 d后COD降解率逐漸減緩,但能保持一定的降解效果.
3.3 不同接種量對氯離子釋放量的影響
在配制模擬廢水時,無機鹽培養基中不含Cl-,反應液中的氯離子含量多少反映了降解過程中對1,2,3,4-TeCB的降解脫氯過程,結果見圖 4.

?圖4 接種量對氯離子釋放濃度的影響
從圖 4可以看出氯離子釋放濃度趨勢與COD降解呈一定的相關性.在1~4 d,氯離子隨菌濃度增大,氯離子釋放量濃度增大.這表明菌株在1,2,3,4-TeCB降解的過程中確實有Cl-產生.且接種量越大,氯離子的釋放越多.但在5 d后氯離子釋放量,再次呈現快速增長,表明該菌有可能使1,2,3,4-TeCB釋放多個氯離子,可能使三氯或者二氯化合物脫氯.因此氯離子濃度的變換呈現二次增長趨勢.不同接種量反應液中的氯離子濃度在7 d時的含量分別為:1.852 mg · L-1,2.742 mg · L-1,4.980 mg · L-1.
3.4 不同接種量對1,2,3,4-TeCB的降解量
從圖 5中可以看出,1,2,3,4-TeCB的降解量隨著時間的增加而增大,呈現一定的時間-效應關系,且菌株接種量大降解率高.2%、3%、5%接種量7 d后降解量可達13.74 mg · L-1,14.91 mg · L-1,20.47 mg · L-1.第1~4 d,盡管微生物量增多,但是菌株降解速率較慢,這可能與菌株尚沒有合成降解1,2,3,4-TeCB相應的酶有關.第4~6 d,1,2,3,4-TeCB的降解量逐漸加大.表明菌株逐漸適應新的脅迫環境.到7 d降解量變化不大,表明菌株生長所需有機物逐漸減少,降解效果也隨著下降.該結果與COD量變化不同,菌株COD在第7 d時最高只降解62%,這表明該菌株能利用1,2,3,4-TeCB,但對1,2,3,4-TeCB的完全礦化需要一個過程,該結果正好與氯離子的二次釋放相吻合.

?圖5 不同接種量對1,2,3,4-TeCB降解量
3.5 加標回收率與RSD和GC-MS產物分析
進一步分析L-1菌株對1,2,3,4-TeCB的降解產物的特性,樣品的加標回收率見表 2.

?表2 樣品的加標回收率與RSD
通過對反應液GC-MS測定和分析,發現1,2,3,4-TeCB降解過程中存在:2,3,4,5-四氯-2,4-己二烯二酸(A物質)和2,3,5-三氯-2,4-二烯-1,4-內酯-己酸(B物質).圖 6(a、b)分別是A、B物質的質譜圖.

?圖6 A、B物質的相對豐度
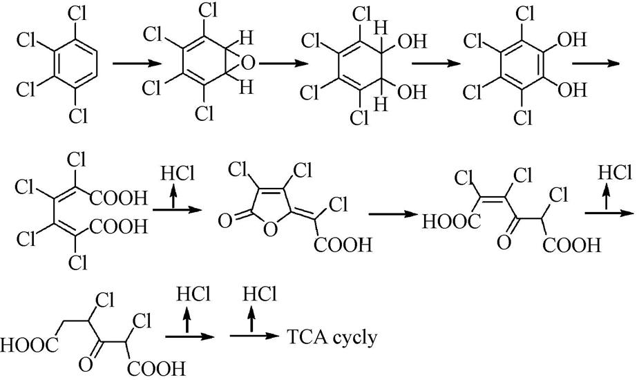
通過對廢水pH的測定,反應液從pH 7降低到pH 5.3,說明最終產物中生成了酸性物質.通過對產物的分析,推測1,2,3,4-TeCB降解途徑是先通過開環后脫氯的途徑.通過對其降解途徑分析如圖 7所示.

?圖7 菌株L-1對1,2,3,4-TeCB的降解途徑
1,2,3,4-TeCB在加氫氧化酶的作用下產生環雙氧化,生成環氯代二醇,然后在脫氫酶的作用下脫去兩個氫原子生成3,4,5,6-四氯鄰苯二酚;再經過氧化開環生成2,3,4,5-四氯-2,4-己二烯二酸,并在相關酶的作用下發生內酯化脫去氯離子生成2,3,5-三氯-2,4-二烯-1,4-內酯-己酸,之后通過水解酶生成2,3,5-二氯-4-氧代-2-烯己二酸,這種化合物能在NADH作用下打開雙鍵同時脫氯,形成飽和脂肪酸,最后生成琥珀酸和乙酸,最終進入TCA循環.該中間化合物大部分在反應液中檢測出來,證實了該降解途徑的可行性及該菌種研究的潛在價值.關于菌株L-1的其他生理生化特性及菌種鑒定值得進一步深入研究.具體參見 污水處理技術資料或污水技術資料更多相關技術文檔。
4 結論
1)從廣東某化學試劑廠周邊土壤篩選出一株能降解1,2,3,4-TeCB的菌株L-1,該菌株為短桿狀,能產生芽胞的革蘭氏陽性菌,經16S rDNA鑒定該菌株為枯草芽孢桿菌.
2)菌株L-1不同接種量對模擬廢水(25 mg · L-1)的最佳處理效果:COD降解率達62.71%,氯離子濃度達4.980 mg · L-1;1,2,3,4-TeCB降解量高達20.47 mg · L-1.
3)廢水的COD降解率隨接種量增大和接種時間延長逐漸升高;1,2,3,4-TeCB降解過程中有Cl-產生,且呈現二次增長的現象;反應液中1,2,3,4-TeCB濃度隨著接種時間逐漸降低,在第7 d 5%接種量處理組的降解量最大,高達20.47 mg · L-1,證實該L-1菌株能夠降解1,2,3,4-TeCB,但其完全礦化過程比較復雜.
4)通過GC-MS等分析發現1,2,3,4-TeCB的降解過程中存在2,3,4,5-四氯-2,4-己二烯二酸和2,3,5-三氯-2,4-二烯-1,4-內酯-己酸兩種關鍵物質.推測其降解過程是先開環后脫氯.
