1 引言
壬基酚聚氧乙烯醚(NPEO)由于價格優勢和可調的親水親油平衡值(HLB)在多種工業行業中得到廣泛應用.隨著分子中環氧乙烷(EO)加成數的增加,NPEO從親油(加成數1~3)向親水性(加成數7以上)變化,可制備成乳化劑、潤濕劑、洗滌劑、增溶劑等不同用途的印染助劑(劉玉婷等,2010),成為印染行業中不可或缺的一種添加劑.NPEO由NP和環氧乙烷聚合生成,進入環境后通過多種途徑轉化成NP、NP(1~3)EO和NP(1~3)EC,這些物質由于具有一定的雌激素效應,會對水體生物產生一定的影響.因此,各國環境機構及行業機構紛紛限定了其在各類產品中的使用(章杰,2012).
生活污水和天然水體中NPEO的去除和降解一直是相關研究的主體,而厭氧、好氧環境下NPEO的微生物降解途徑則是研究的核心.作為水體中NPEO的另一個重要來源——工業廢水,NPEO的分布和去除則一直缺乏相應的研究.工業廢水中NPEO如何降解?其惡劣水質對NPEO微生物降解的影響如何?現有工業廢水處理工藝在NPEO去除過程中效果怎樣?本研究試圖通過這些問題的回答,就如何控制工業廢水NP污染提出建議.
牛仔布生產過程中,除了使用到的印染助劑需要添加NPEO外,特有的漂洗過程也大量使用添加了NPEO的高效復配洗滌劑,其排放的廢水中NP和NPEO濃度遠大于其他印染廢水.因此,研究該類廢水中NPEO在常規印染廢水處理流程下的轉化具有更重要的實際意義.基于此,本文通過靜態和動態連續降解實驗,揭示壬基酚聚氧乙烯醚(NPEO)在堿性牛仔布印染廢水中的去除規律.
2 實驗部分
2.1 模擬牛仔布印染廢水
牛仔布混合廢水來自生產過程中的多個環節,其中,漿染、印染和漂洗廢水排放量較大,絲光工藝水量最小.由于靛藍和硫化黑染料使用過程需要加堿,漿染、印染排水pH一般較高,絲光工藝排水堿性更強.因此,盡管漂洗廢水量大且接近中性,但廢水混合后的pH值通常會大于11.本實驗原水模擬牛仔布印染混合廢水,平均COD為600~700 mg · L-1,由蔗糖(0.64 g · L-1)和其他營養成分組成,硫化黑和靛藍兩種染料投加量分別為0.13 g · L-1和0.032 g · L-1,通過添加氫氧化鈉(約0.034 g · L-1)保持廢水pH值在9~11之間;另外,還添加保險粉(Na2S2O4,0.038 g · L-1)、小蘇打(NaHCO3,0.08 g · L-1)、硫化鈉(Na2S,0.13 g · L-1)等印染加工過程中常用的助劑.實驗用NPEO采用工業級TX-10,投加量為6.25~12.5 mg · L-1.
2.2 實驗過程
實驗分3個階段:①第一階段批式實驗,考查厭氧環境不同pH條件下,NPEO的降解產物和降解效率;②第二階段批式實驗,考查好氧環境不同pH條件下,NPEO的降解產物和降解效率;③第三階段模擬印染廢水處理工藝,考查連續處理中NPEO的降解產物和降解效率.
第一階段批式實驗采用6個30 L容器,分為3組,每組2個.各組pH值通過投加氫氧化鈉分別設定為9.0、9.6和10.2.馴化時植入6 L生活污水處理廠剩余污泥和20 L人工印染配水,每隔2~3 h加氫氧化鈉以維持初始pH值,每日厭氧攪拌處理8 h,靜置后撇除處理水,次日投入原水重復實驗,直至系統COD處理效果穩定完成馴化.采樣階段系統按原方案繼續運行,每天分別在反應6 h和8 h后采樣,連續6~8 d.水樣200 mL,投加甲醇和硫酸抑制微生物反應,置于低溫冰箱冷藏保存,次日進行目標物測定.
第二階段所用裝置及馴化和采樣過程與第一階段類似.除攪拌器外,裝置增加曝氣設備以維持混合液中溶解氧濃度為4 mg · L-1,原水pH值設定為4.5、7.5和9.6.采樣時間為反應后3、6及8 h.

?圖 1 連續處理裝置流程圖
第三階段連續實驗在平行的兩套模擬設備中進行,設備配置相同(圖 1).水解酸化池采用厭氧折板反應器,池底保留污泥層,水流上升段增設填料,馴化后填料上附著污泥.活性污泥曝氣池單元出水經豎流沉淀池泥水分離后排出,沉淀污泥經蠕動泵回到曝氣池前端,剩余污泥據累積量不定期排出.進水堿性設定pH值11,其他成分同前兩階段配水,各段水力停留時間如下:厭氧水解段9.6 h,好氧曝氣段12.7 h,沉淀段3.84 h.采樣點設置在原水進水點、水解酸化出水口和末端出水口.經過一個多月馴化,出水常規指標達到印染排水水質要求,此后連續采樣檢測7 d.
2.3 檢測方法
參考文獻中的提取方法,以Lian等(2009)的方法為基礎,用HLB固相萃取柱對廢水中的目標污染物進行提取和濃縮.
為全面了解NPEO的主要降解產物,對固相萃取獲得的樣品中NPEO總量、NP及NP(1~3)EO和NP(1~3)EC三類物質進行檢測.NPEO總量檢測參考文獻的方法,采用ZORBAX Eclipse XDB C-18反相色譜柱進行分析;流動相采用甲醇/水,流速1.0 mL · min-1,柱溫23 ℃;進樣量10 μL;紫外檢測,波長 225 nm.NP及NP(1~3)EO檢測方法參考Lian等(2009)的方法,用4-n-NP為內標,BSTFA和TMCS衍生后送GCMS檢測.選擇性離子模式檢測,檢測離子如下: 4-n-NP:179;NP:221、179、193;NP1EO:251、265;NP2EO:295、309;NP3EO:281、267.NP(1~3)EC的檢測參考文獻中的方法,用正丙醇/乙酰氯對NP(1~3)EC進行衍生,GC-MS檢測.
2.4 材料與儀器
配水所用氫氧化鈉、小蘇打、保險粉等使用分析純藥劑,NPEO采用市售工業級TX-10(NPEO含量>98%),檢測藥劑二氯甲烷、正丙醇等采用色譜級,標準產品NP、NP(1~3)EO、NP(1~3)EC,4-n-NPEO購自德國Dr. Ehrenstorfer 公司.CODCr測定采用哈希DR1010快速測定儀;溶解氧測定采用哈希HQ30d溶解氧儀;pH值檢測使用WTW手持式PH/溶解氧/電導率測試儀(Multi 3400i),實驗開展前及實驗過程中不定期校準.
HLB固相小柱(6 mL,500 mg)購于Waters公司,MTN-2800D氮吹儀,玻璃纖維濾膜(0.7 μm,Whatman GF/F,UK)在450 ℃馬弗爐中烘4 h.氣相色譜質譜儀為安捷倫6890N/5975B GC-MS(Santa Clara,CA,USA).載氣氦氣,純度>99.999%;NCI所用反應氣體為甲烷氣,純度>99.999%.數據分析采用安捷倫數據分析軟件MSD ChemStation D.03.00.611.
3 結果
3.1 厭氧環境下印染廢水中NPEO的降解
3.1.1 厭氧環境不同pH下印染廢水中NPEO的降解
圖 2顯示了厭氧批式實驗中,不同pH值(9.0、9.6和10.2)不同反應時間下印染廢水降解產物的分布情況.圖 2結果表明,雌激素效應突出的NP及短鏈NPEO總量,隨著反應pH值的升高平均值從500 μg · L-1經700 μg · L-1升高到900 μg · L-1.具體到各物質,除NP的濃度和比例隨pH的升高略有降低外,NP1EO與NP2EO的濃度隨pH的增大增加明顯,NP3EO濃度有少量增加.

?圖 2 批式厭氧反應不同取樣時間各pH條件下印染廢水中NPEO降解產物分布(NP等:NP及NP(1~3)EO 4種物質濃度和;NPEC等:NP(1~3)EC 3種物質濃度和;總量:NP等+NPEC等;NPEO總量:長鏈NPEO及部分短鏈NPEO)
在污染物濃度隨反應時間變化方面,比較圖 2a和2b發現,NP、NP(1~3)EO 4種物質的濃度隨時間變化很小,兩個取樣時段上的濃度差異在10 μg · L-1以內.圖 3結果顯示,NPEO總量的去除率差異也同樣不明顯,3種環境下兩個反應時段上的差異很難辨識.圖 3還顯示,與NPEO去除率不同,COD去除率變化明顯,不僅不同pH值間的去除率差距很大,在不同取樣時間上,8 h樣品的COD去除率普遍高出6 h樣品10%.從圖 3還可以看出,NPEO總量去除率平均高出COD去除率10%.

?圖 3 靜態厭氧反應不同取樣時間COD、NPEO去除率
圖 4顯示了相同pH不同反應時間下,NP及各NP(1~3)EO占NP及NP(1~3)EO總量的比例.盡管COD隨反應時間改變發生了較大變化,但NP等4種產物各自所占的比例沒有發生明顯的變化,反應時間的延長沒有改變4種物質水相中的分布比例.

?圖 4 靜態厭氧反應中NP及d-NPEO分布比例
3.1.2 厭氧環境下的NP(1~3)EC
圖 2顯示,批式厭氧反應中,不同pH條件下的NP(1~3)EC濃度都處于較低的水平,pH=9.0(相對更接近中性)時NP(1~3)EC濃度最高,但濃度處于較低的25 μg · L-1左右.這表明厭氧條件下,NPEO的降解產物不是NPEC,但不同條件下的濃度變化也表明,厭氧環境下存在NP(1~3)EC的產生途徑.因此,隨著反應條件向中性變化,氧化電位升高,出現了NP(1~3)EC濃度增長的現象.
3.1.3 厭氧連續實驗中的NP等污染物
圖 5顯示了連續實驗兩個平行裝置中,厭氧單元中NP、NP(1~3)EO和NP(1~3)EC的出水濃度,同期的COD與NPEO總量去除率見圖 6.圖 5、圖 6表明,兩裝置處理效果的平行性很高,各物質的濃度或去除比例都非常相近.連續實驗進水pH值大于11,其厭氧水解段COD與NPEO的平均去除率分別為31%和35%,效果與pH=10.2的批式實驗結果相似.與批式實驗不同的是,連續厭氧水解出水的NP及NP(1~3)EO濃度更大,兩裝置4種產物的總量分別達到了4634 μg · L-1和5400 μg · L-1,與pH=10.2時批式實驗對應的最大濃度(900 μg · L-1)對比,增加了近6倍.產物分布上,連續實驗結果與堿性環境下批式實驗的結果相同,出水中NP1EO濃度依然最大,NP2EO其次,NP和NP3EO較低,兩者的差異體現在連續實驗中,NP和NP(1~3)EO的分布較批式實驗更趨均勻.

?圖 5 動態連續裝置厭氧、好氧段出水中目標物濃度分布(*NP等:NP及短鏈NPEO總量; NPEC等:短鏈NPEC總量)
?
圖 6 連續裝置厭氧、好氧段COD、NPEO去除率
3.2 好氧環境下印染廢水中NPEO的降解
3.2.1 好氧環境不同pH下印染廢水中NPEO的降解
圖 7顯示了批式好氧反應中,不同pH環境、不同取樣時段NPEC、NPEO等的濃度.圖 7表明,NP(1~3)EC在酸性條件時濃度最高,累積濃度超過200 μg · L-1,顯然,酸性環境中游離質子數量的增加對NPEC濃度形成了影響.圖 7還表明,反應后NP及NP(1~3)EO的濃度低于NP(1~3)EC,但兩者數量級別相同,特別是在中性與堿性環境下,兩類物質的濃度更趨接近.與批式厭氧實驗結果對比,好氧反應后NP及NP(1~3)EO濃度遠低于厭氧反應后對應物質的濃度,NP(1~3)EC的濃度則有明顯增加.

?圖 7 靜態好氧實驗不同取樣時間各pH條件下印染廢水中NPEO降解產物分布(NP等:NP及NP(1~3)EO總量; NPEC等:NP(1~3)EC總量; NPEO總量: 長鏈NPEO及部分短鏈NPEO)?
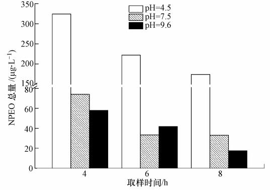
圖 8顯示了批式實驗好氧環境下COD的去除效率,結果表明,4、6 h樣品中COD去除率小于10%,遠低于8 h樣品中超過90%的結果.這主要是因為COD檢測流程中采用靜置沉淀,沒有過濾廢水,前兩個時段樣品沉淀時間不足,導致樣品中細小污泥沒有完全分離,從而影響了檢測結果.與COD不同,由于NPEO檢測包括過濾步驟,樣品中NPEO檢測去除了未沉淀污泥的影響,在所有取樣時間上都表現了較高的去除率(大于85%,剩余濃度低于350 μg · L-1,圖 9).

?圖 8 靜態好氧實驗不同取樣時間不同pH環境下COD去除率?
?
圖 9 靜態好氧實驗不同取樣時間不同pH環境下NPEO總量?
對比圖 7不同時間點上NPEO及NP(1~3)EC的濃度變化,可以看到,經過6 h反應,NP及NP(1~3)EO的含量逐漸減少,個別樣品(主要在酸性和中性條件下)的NP(1~3)EC濃度出現上升.該結果表明,好氧條件下NP(1~3)EO得到有效去除,而NP(1~3)EC則可能因為酸性氧化電位增高從而濃度增加.
3.2.2 連續好氧反應中NPEO的降解
好氧連續階段進水取自連續實驗水解酸化段,NP(1~3)EO濃度較批式實驗進水高,進水pH值也從厭氧段進水時的11降到厭氧出水時的9.6左右.圖 6展示了NPEO在連續好氧條件下的轉化率,結果顯示,NPEO的總平均去除率始終保持在93%以上,略高于COD的平均去除率.圖 5展示了好氧段進出水NP、NP(1~3)EO和NP(1~3)EO等的分布情況.圖 5和圖 6表明,連續好氧反應與批式好氧實驗結果存在眾多不同:NP及NP(1~3)EO出水濃度在300~600 μg · L-1間,比進水3000~4000 μg · L-1的高濃度低,但較批式好氧出水20~60 μg · L-1的濃度高;NP(1~3)EC濃度則從進水的10~40 μg · L-1增加到出水的800 μg · L-1以上,對比批式好氧實驗,增加明顯.
4 討論
4.1 厭氧環境下印染廢水中NPEO的降解
厭氧環境下的批式實驗結果表明,NPEO的降解和COD降解一樣,受廢水pH影響明顯,中性水質條件下有近80%的去除率,堿性條件下只能達到50%左右.結果還表明,隨堿性增加,產物中NP比例減小,而NP1EO和NP2EO等短鏈NPEO濃度及比例有一定增長.
厭氧環境下,無論是批式還是連續實驗,NP(1~3)EC的濃度都很低,這表明NP(1~3)EC的確不是厭氧環境下的產物,但批式實驗中,隨堿性減小NP(1~3)EC濃度增加的結果說明在該環境中依然存在NP(1~3)EC產生的途徑.
NP和NP(1~3)EO在批式和連續實驗中的結果差距較大,連續實驗出水中NP和NP(1~3)EO濃度總計能達到4000~5000 μg · L-1,而批式實驗只能達到500~1000 μg · L-1.不同的污泥培養方式、馴化時間是形成該差異的最大原因,批式實驗中每日留固定量污泥為微生物接種,拋棄多余污泥,污泥泥齡較短,而連續式折板厭氧反應器中,底部是污泥床,廊道內是經過較長時間培養,在軟性填料上附著生長的污泥,連續系統不進行主動污泥排除,脫落的污泥隨水流到下一個處理單元,該運行方式使得連續系統中污泥的泥齡更長,能將更多的NPEO轉化成NP及NP(1~3)EO,形成兩種厭氧出水的濃度差異.
不同pH條件,批式厭氧實驗中,約50%~80%的NPEO得到去除,去除的NPEO或降解成其他非NPEO類物質,或吸附在污泥上,或被微生物同化、礦化.以上3種途徑中,礦化方面,雖然有學者(Tanghe et al., 2000)發現,NP2EO可以在某些環境下直接將苯環斷鏈,但厭氧微生物礦化有機物速率較低.對應長鏈NPEO,Salanitro等(1995)發現,NP9EO在低濃度下可降解生成CO2和甲烷;Chang等(2005)的實驗表明,NPEO和NP可以在厭氧條件下通過苯環斷裂降解,生成CO2和甲烷;Naylor等(2006)用含14C的NPEO進行降解,發現最終40%苯環的14C轉化成了CO2,苯環斷鏈發生在短鏈NPEO中.上述研究都表明,NPEO的厭氧礦化效率不高,同時還需具備厭氧甲烷菌存在的條件,這在堿性很強的印染廢水中一般并不存在.降解方面,NPEO檢測到的產物主要通過EO鏈斷裂產生,如Wagener等(1988)提出,微生物攻擊EO長鏈末端,末端的OH基團轉移到次末端,最終使整個分子脫除一個半縮醛,使得EO鏈變短;此外,還有EO鏈在中間斷裂的過程(Gu et al., 2008).但不論哪種方式,NPEO或生成NP及短鏈NPEO,或轉化成NPEC,或向更短鏈的NPEO逐個轉化,這些產物中只有NPEC不是NPEO類物質,但由前面討論已知,NPEC不是厭氧環境下的主要產物,因此,降解不是厭氧條件下NPEO去除的主要途徑.排除以上兩種途徑可知,去除的NPEO主要被厭氧污泥吸附,批式實驗中通過剩余污泥排出系統,而連續實驗中則被污泥上的微生物逐漸轉化成更多的NP及短鏈NPEO,形成出水中NP及短鏈NPEO高濃度的結果.
4.2 好氧反應印染廢水中NPEO的降解
盡管批式好氧條件下NPEO獲得了80%以上的總去除率,實驗檢測到的NP(1~3)EC和NP(1~3)EO濃度普遍很低,一般在100~200 μg · L-1,兩類物質在中性和堿性條件下的濃度更是保持在同一低濃度水平,兩類物質的增長量遠不足以平衡已去除的NPEO總量.連續實驗中,兩類物質的增長數量更多,但對應NPEO 80%以上的總去除率,其總量仍不足以平衡已去除部分,因此,水相中去除的NPEO或轉化成了其他類物質,或通過其他路徑從水相中去除.
批式好氧進水NP及NP(1~3)EO濃度不大,反應后出水中該類物質濃度在20 μg · L-1左右,連續好氧反應器進水NP及NP(1~3)EO濃度大(3000~4000 μg · L-1),出水中NP及NP(1~3)EO濃度高(600~2000 μg · L-1).這兩個結果表明好氧反應器出水中NP及NP(1~3)EO濃度與該物質的進水濃度有關:連續好氧反應器中好氧菌降解NP及NP(1~3)EO的能力有限(55%~66%去除率),高濃度的進水NP及NP(1~3)EO將會造成出水NP及NP(1~3)EO濃度較大的結果.另外,連續反應器隨著NP(1~3)EO的大幅度降低,出水NP(1~3)EC濃度也有了相當的增長,而批式實驗中進水NP(1~3)EO的低濃度對應出水NP(1~3)EC的低濃度.依據已有研究中NPEO氧化生成對應NPEC的理論,兩個實驗中好氧出水中NP(1~3)EC來源于NP(1~3)EO氧化的可能性較大.因此,在同樣的氧化條件下,長鏈NPEO也存在向對應長鏈NPEC轉化的可能.當長鏈NPEO轉化成對應的長鏈NPEC后,長鏈NPEO從水相中消失.NPEO從水相中消失的途徑還存在同化及污泥吸附的方式,本研究中因缺少對污泥中NPEO的檢測,對此暫無法獲得準確判定.
綜合靜態和動態好氧連續實驗的結果,印染廢水中的NPEO在好氧曝氣過程中能較快地去除,或轉化成非NPEO類降解產物(對應NPEC),或發生苯環斷鏈或礦化,或吸附在好氧污泥上.從實驗中短鏈NPEO向短鏈NPEC的轉化看(22%~35%左右的轉化率),系統轉化NPEO生成NPEC方式的效率不高,需要依靠其他方式,NPEO總量才能獲得較高的去除率,吸附或礦化都是水相中NPEO去除的可能途徑.最終液相中殘留的NP類物質主要是鏈長不等的NPEC,連續實驗好氧出水中的NP及NP(1~3)EO是前段連續厭氧水解過程的殘留,如果厭氧出水中短鏈NPEO含量大,好氧出水中該類物質的含量也大,短鏈NPEC的含量因NPEO轉化有所增長.具體參見 污水處理技術資料或污水技術資料更多相關技術文檔。
5 結論
通過模擬堿性牛仔布印染廢水中的靜態和動態連續實驗發現,連續的厭氧和好氧處理工藝不僅能有效凈化含大量硫化染料和靛藍染料的堿性牛仔布印染廢水,也能有效去除廢水中的NPEO類污染物,獲得90%以上的去除效率.靜態實驗表明,印染廢水pH值對NPEO厭氧處理結果影響明顯,pH=10.2條件下,系統所產生的NP及NP(1~3)EO比中性條件下的產生量大.污泥更換慢、污泥齡長的連續厭氧水解池,其出水中NP及NP(1~3)EO含量明顯增加.好氧反應中,印染廢水中的大部分NPEO能在較短的時間里從水相中去除.好氧批式實驗和連續實驗都表明,好氧曝氣出水中的NP及NP(1~3)EO為進水中未被降解去除的部分,出水中的NP(1~3)EC來自對應NP(1~3)EO轉化的可能最大.綜合實驗結果得到以下認識:厭氧反應器中印染廢水中NPEO主要通過吸附方式從水相中去除,如果厭氧污泥泥齡較長,NPEO則可能轉化成大量的NP及短鏈NPEO,進入到好氧反應器中.進入到后續好氧工藝的NPEO通常能以很高的效率從水相中去除,但堿性環境下NP及短鏈NPEO的去除率不高,部分還可能轉化成短鏈NPEC.去除的NPEO可轉化成對應的NPEC,也可能同化或吸附在好氧污泥上,多種途徑的共同作用使NPEO總量獲得了較高的去除率.從工程實踐角度看,控制處理后出水中NP及短鏈NPEO類物質濃度的重要環節是控制好氧段進水中NP及短鏈NPEO濃度,因此,減少厭氧水解過程中NP及短鏈NPEO產生量是工藝運行的關鍵,適當排除厭氧污泥,控制污泥泥齡,是控制系統最終出水中NP及短鏈NPEO濃度的可行方法.
